Kích thước ống thủy lực
Hiện nay, ống tuy thủy lực là một bộ phận quan trọng và không thể thiếu trong hệ thống thủy lực. Nó đóng vai trò giống như vật kết nối và truyền dẫn năng lượng, đảm bảo cho các thiết bị thủy lực chịu được những áp lực cao. Vậy ống thủy lực là gì? Và lựa chọn kích thước của ống thủy lực ra sao?. Bài viết dưới đây DBK sẽ giới thiệu tới bạn những kiến thức liên quan về ống thủy lực, hãy tìm hiểu nhé.
Kích thước ống tuy ô thủy lực
Kích thước ống tuy ô thủy lực phụ thuộc vào nhiều yếu tố như tiêu chuẩn sản xuất, áp suất làm việc, đường kính trong và đường kính ngoài của ống, dưới đây là một số ví dụ về kích thước phổ biến của ống tuy ô thủy lực.
.jpg)
Đường kính trong
Đường kính trong (Inner Diameter - ID) của ống thủy lực là đường kính của lỗ thông qua mà chất lỏng thủy lực chảy trong ống, đường kính trong được đo từ bên trong thành của ống đến điểm đối diện trên bên trong của thành ống. Đơn vị đo thường là mm hoặc inch.
.jpg)
Đường kính ngoài
Đường kính ngoài (Outer Diameter - OD) của ống thủy lực là đường kính của phần bên ngoài của ống, đường kính này được đo từ bề mặt bên ngoài của ống đến điểm đối diện trên bề mặt bên ngoài. Đơn vị đo thường là mm hoặc inch.
.jpg)
Độ dày vách
Độ dày vách (Wall Thickness) của ống thủy lực là khoảng cách giữa đường kính trong và đường kính ngoài của ống, nó đo lường độ dày của thành vỏ của ống, tức là khoảng cách từ bề mặt trong của ống đến bề mặt ngoài của ống. Đơn vị đo thường là mm hoặc inch.
.jpg)
Xem thêm: Ống tuy ô thủy lực 1 lớp
Tính kích thước ống thủy lực
Để tính kích thước ống thủy lực, bạn cần xác định các thông số quan trọng như áp suất làm việc, lưu lượng chất lỏng và chiều dài ống. Sau đó, sử dụng các công thức và bảng dữ liệu chuẩn của ngành công nghiệp để tính toán đường kính trong, đường kính ngoài và độ dày vách phù hợp cho ống thủy lực. Lưu ý rằng tính toán kích thước ống thủy lực có thể phức tạp và nên được thực hiện cẩn thận để đảm bảo hiệu suất và an toàn cho hệ thống thủy lực.

Xem thêm: Máy cắt thanh cái
Hướng dẫn tính kích thước ống thủy lực
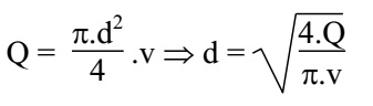
Công thức tính kích thước ống thủy lực phụ thuộc vào thông số cụ thể mà bạn muốn tính toán, chẳng hạn như đường kính trong (Inner Diameter - ID), đường kính ngoài (Outer Diameter - OD) và độ dày vách (Wall Thickness),

Công thức tính kích thước ống thủy lực
Công thức tính kích thước ống thủy lực là một khía cạnh quan trọng trong việc thiết kế và lựa chọn ống thủy lực phù hợp cho các ứng dụng công nghiệp, đường kính ống thủy lực được xác định theo công thức sau:

Ví dụ tính kích thước ống thủy lực
Dưới đây là một ví dụ về cách tính kích thước ống thủy lực sử dụng công thức:
Bước 1: Xác định đường kính ống hút
vhút = 0,5 ÷ 1,5 (m/s). Trường hợp đặc biệt có thể lấy Chọn : dhút = 20 (mm).
Ví dụ: lưu lượng bơm Q = 58,32 (l/ph); VhútMax = 3 (m/s) = 1800 (dm/ph).
Bước 2: Xác định đường kính ống xả
Cũng như đường ống hút là đường có áp suất thấp nên vxả = 0,5 ÷ 1,5 (m/s), trường hợp đặc biệt có thể lấy Chọn : dxả = 20 (mm).
Ví dụ: lưu lượng ống xả Q = 58,32 (l/ph); VxảMax = 3 (m/s) = 1800 (dm/ph).
Bước 3: Xác định đường kính ống đẩy
tùy theo áp suất làm việc, các yêu cầu cũng khác nhau.
- + p
- + p = 50 ÷ 100 Bar: Vận tốc giới hạn vđẩy 5 - 6 (m/s).
- + p > 100 Bar: Vận tốc giới hạn vđẩy 6 - 7 (m/s)
Lưu lượng ống đẩy Q = 24,4494 (l/ph); vđẩy = 3 - 5 (m/s) => Chọn vđẩyMax = 4 (m/s) = 2400 (dm/ph).

=> Chọn : dđ2 = 12 (mm).
Trên đây là những thông tin về cách tính kích thước ống tuy ô thủy lực, hy vọng các bạn sẽ dễ dàng hơn khi tính toán.
Xem thêm: Các loại ống thủy lực
Mua ống tuy ô thủy lực ở đâu ?
Bạn có thể mua ống tuy ô thủy lực tại DBK Việt Nam. Chúng tôi là nhà phân phối uy tín và đáng tin cậy, cung cấp đa dạng các loại ống tuy ô thủy lực chất lượng cao từ các thương hiệu nổi tiếng trên thị trường. Với đội ngũ nhân viên chuyên nghiệp và tận tâm, chúng tôi cam kết mang đến cho bạn những sản phẩm ống tuy ô thủy lực đáng tin cậy và giải pháp toàn diện cho nhu cầu của bạn.
Hãy đến với DBK Việt Nam để trải nghiệm dịch vụ mua sắm tốt nhất, chất lượng sản phẩm cao cùng với sự tư vấn chuyên nghiệp và hỗ trợ tận tâm từ đội ngũ nhân viên của chúng tôi. Bạn sẽ hoàn toàn yên tâm và hài lòng khi lựa chọn ống tuy ô thủy lực tại DBK Việt Nam.
Ngày tạo: 2022-05-05 05:08:18 | Người tạo: Phát Review